Blog
Nombor 1 Hingga 1000
lirik lagu rahman ya rahman dan artinya
lembaran kerja sains tahun 3 tumbuhan
lirik lagu jamal abdillah
lingkaran api pasifik malaysia
lelaki paling kacak di dunia
lhdn contact number jalan duta
lima faktor kecemerlangan perkembangan tamadun islam
latihan pra sekolah 5 tahun bahasa melayu
Nombor Hingga 1000
1 Nombor Hingga 1000 1
Carta Nombor 1 Hingga 1000
Nombor Hingga 1000
Sudut Matematik Lembaran Kerja 2 Nombor Bulat Hingga 1000
Matematik Menulis Nombor Hingga 1000
Nombor Hingga 1000
1 Nombor Hingga 1000 1
Nota Mate Pages 1 50 Text Version Anyflip
1 Nombor Hingga 1000 1
2 3 Nombor Perdana Matematik Tingkatan 1
Nombor Hingga 1000
Cikgu Ng Kc Lembaran Kerja Nombor Bulat Hingga 1000
Bahan Belajar Pemulihan Bm Dan Mat Added Bahan Belajar Pemulihan Bm Dan Mat Facebook
Sudut Matematik Lembaran Kerja 2 Nombor Bulat Hingga 1000
Nombor Bulat Hingga 1000 Pemulihan Quiz
Soalan Matematik Nombor Bulat Tahun 3 Persoalan S
Mudahnya Matematik Unit 1 Nombor Hingga 1000 By Otnadiah Tpt
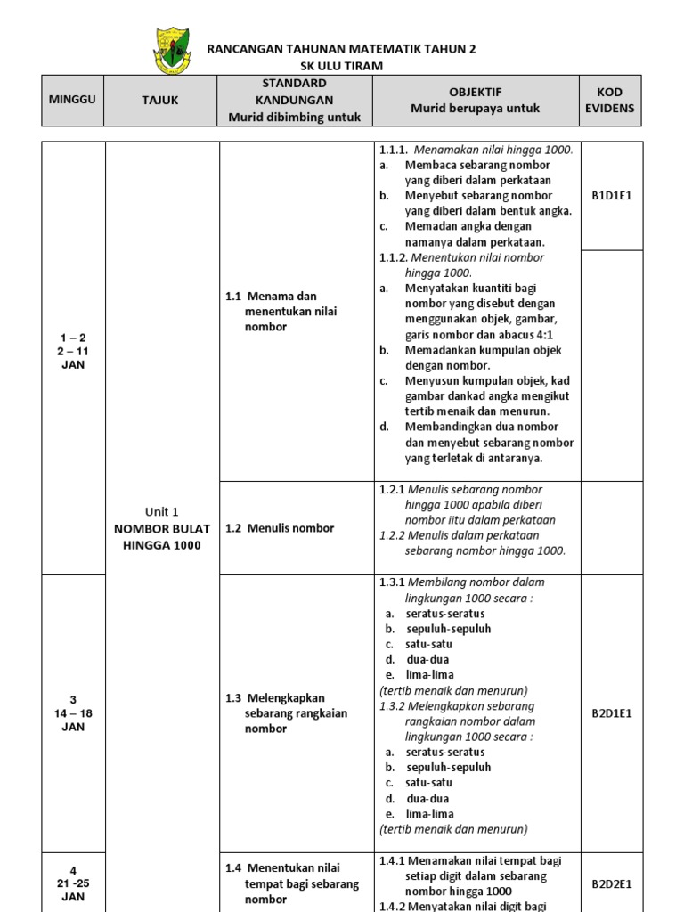
Rpt
Rpt 2020 Matematik Tahun 2 Kssr Semakan Pages 1 11 Text Version Anyflip
Source :
pinterest.com
Random Posts
Borang Kajian Keperluan Pelanggan Tingkatan 3
Buku Teks Bahasa Inggeris Tahun 2
Boleh Jadi Kamu Membenci Sesuatu
Borang Permohonan Kemudahan Perlindungan Insurans Kesihatan Ke Luar Negara
Bulan Kemerdekaan Karangan Bahasa Arab Tentang Malaysia
Borang Kajian Keperluan Pelanggan
Buah Tangan Yang Cocok Untuk Menjenguk Orang Sakit
Borang Pengumpulan Cuti Rehat Khas Guru
Borang Kajian Keperluan Pelanggan Rbt Tingkatan 3
Boleh Jadi Kamu Membenci Sesuatu Padahal Ia Baik Bagi Kamu
Buku Teks Bahasa Melayu Tahun 3 Jilid 1 Anyflip
Borang Kajian Keperluan Pelanggan Beg
Buah Buahan Tempatan Karangan
Buku Teks Sejarah Tingkatan 3 Bab 7 Penentangan Masyarakat Tempatan
Buah Tangan Untuk Orang Sakit In English
Buku Teks Bahasa Melayu Tahun 3 Jilid 1 2020
Blue Lagoon Pantai Tanjung Biru Port Dickson
Boleh Jadi Kamu Membenci Sesuatu Padahal Itu Baik Bagimu
Borang Cuti Rehat Khas Guru 2018
Borang Pendaftaran Upsr 2017