Cara Penentangan Malayan Union Pdf

Golongan imigran sokong malayan union atas alasan yang sama.
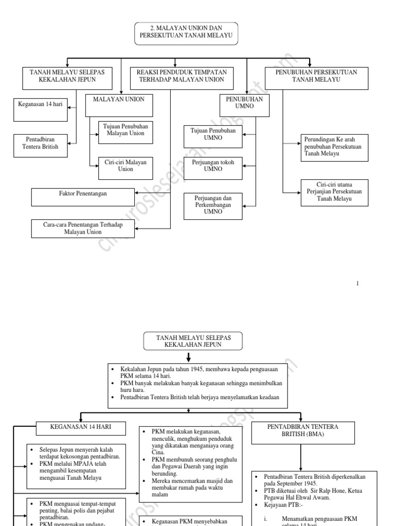
Cara penentangan malayan union pdf. Mereka bergabung dalam all malayan council of joint action amcja diketuai oleh tun tan cheng lock. Langkah kolektif menentang malayan union demonstrasi secara aman bantah cara sir harold macmichael memperoleh tandatangan raja rajamelayu membantah malayan union yg menghapuskan kedaulatan negeri melayu dan kedudukan merekasebagai anak. Penentangan melalui akhbar menyuarakan bantahan melalui majlis utusan melayu dan warta negara 3. Dalam bulan november1945 suara suara dalam akhbar melayu sebih kuat dan lebih lantang dan hampir semuanya tidak setuju dengan rancangan malayan union.
Orang melayu kecewa dengan kerajaan british kerana pecah amanah. Manakaia terhadap pemerintah meiayu pula kerana meminggirkan suara rakyat dalam isu yang sepenting itu. Pada 10 oktober 1945 setiauaha pejabat tanah jajahan british george hall telah mengumumkan parlimen mengenai penyatuan politik tanah melayu yang dikenali sebagai malayan union mu. Share to twitter share to facebook share to pinterest.
Penentangan terhadap malayan union. Unknown 15 april 2017 at 17 17. Tanggungjawab ini dilaksanakan oleh h c willan 5 willan menjalankan tugasnya antara 8 20 september 1945 6 laporan willan menampakkan keyakinan yang tinggi. Pada 11 oktober 1945 harold macmichael dihantar ke tanah melayu untuk mendapatkan tandatangan sultan sultan bagi mempersetujui penubuhan mu.
Pada awal tahun 1946 di sana sini orang orang melayu mengadakan tunjuk perasaan. Cara cara penentangan tunjuk perasaan secara besar besaran di seluruh negara 15 dis 1945 demonstrasi anjuran persatuan melayu kelantan 19 jan 1946 demonstrasi persatuan melayu kedah 01 feb 1946. Academia edu is a platform for academics to share research papers. 4 albert lau the malayan union controversy 1942 1948 singapore.
Oxford university press 1991 hlm. Raja raja melayu sejak dari awal sudah menyatakan penentangan keras mereka terhadap malayan union terutama selepas pembentangan kertas putih malayan union yang dibuat pada akhir tahun 1945. Mereka melihat isu malayan union sepatutnya ditangani secara umum. Cara penentangan malayan union.
Malayan union telah dibentangkan di london pada 22 januari 1946. F cara penentangan malayan union 1. Unknown 15 april 2017 at 23 09.